© 2026 GlobalCapital, Derivia Intelligence Limited, company number 15235970, 161 Farringdon Rd, London EC1R 3AL. All rights reserved.

Accessibility | Terms of Use | Privacy Policy | Modern Slavery Statement | Event Participant Terms & Conditions | Cookies

Pre-migration untagged articles

  • null
  • SPAIN’S Banco Pastor priced a new Eu1bn two year cédulas hipotecarias on Wednesday, despite SCBC having pulled its deal mid-bookbuild last week and the market reeling from ECB president Jean-Claude Trichet’s hawkish comments at the start of the week. But to do so it paid the widest ever level for a benchmark in the covered bond market.
  • M&G Investments priced Puma with RBS on Tuesday. Puma is a Eu300m CLO of 93% senior secured loans and 7% second lien or mezzanine loans.
  • Alcentra and Citigroup priced Jubilee IX, a Eu395.75m CLO of leveraged loans, last Friday (June 6).
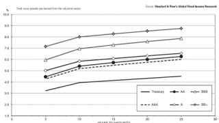
  • CIFG and XL Capital Assurance were downgraded by Standard & Poor’s this week and FGIC was placed on CreditWatch Negative.
  • For many years, Credit Suisse has supported the buy-side's efforts to eliminate Assignment Fees from the Loan Market. The buy-side community, through its urging, prompted nearly all the top Arrangers of Leveraged Loans to get rid of Assignment Fees. Back then, Credit Suisse stated that we would no longer charge any of our customers Assignment Fees, whether they traded our name with us or away from us, and we would be willing to waive the fees for any other Trading Desk that would do the same for us. Immediately, we found willing and eager market participants that agreed on a reciprocal basis to do the same. They agreed that they might lose some trades on some of their names, but it was in the best interests of the Loan Market to enhance liquidity and allow us to make tighter markets for our customers. Over the next year, many firms adopted some version of this approach. While a majority of Loan Arrangers no longer charge Assignment Fees, the list is not complete.
  • The following charts show the top five advancers and decliners in terms of % moves in the loan, bond and credit default swap markets for the previous week.
  • --Barry Zamore, head of U.S. par loan trading at Credit Suisse, on assignment fees.
  • Health Net reopened a $100 million bond offering after Dodge & Cox demanded to join in as an investor in a $300 million offer to sell the company's 6.38% '10s.
  • Geoffrey Raymond--the artist who painted a portrait of former Bear Stearns Chief Executive Jimmy Cayne and had employees, shareholders and people passing by sign the canvas after the shareholders meeting two weeks ago--sold the painting for $12,000, according to DealBreaker.com, an online financial tabloid.
  • There were new mandates for two debut issuers at opposing ends of the covered bond spectrum, with a new mortgage Pfandbrief and cédulas both expected to launch in the near future after roadshows, and one Danish issuer adding Namenspfandbriefe to its funding options.