-
Tight credit and an economic slowdown are likely to increase default rates this year.
-
The Markets in Financial Instruments Directive came into force across the European Economic Area on Nov. 1.
-
Credit derivative product companies have been described as highly rated, capital efficient and successful managers of diverse and complicated risk so why have so few made it to market?
-
Over the last six months, the 2006 and 2007 commercial mortgage-backed securities U.S. vintages, while still performing with minimal delinquencies, have gotten a reputation for having aggressive pro forma underwriting and interest-only loans.
-
After months of discussion with consumer groups and industry representatives, including the American Securitization Forum, Rep. Barney Frank, D-Mass., chairman of the House Financial Services Committee, introduced "The Mortgage Reform and Anti-Predatory Lending Act of 2007" to mixed reviews on Oct. 22.
-
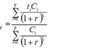
Widespread confusion appears to exist in the minds of many practitioners regarding the concepts of "duration" and "average life".
-
The commercial mortgage-backed securities market has traditionally offered fairly stable spreads.
-
The most recent version of the credit-default swaps on collateralized debt obligation terms and form of confirmation published in August by the International Swaps and Derivatives Association contains two annexes covering interest shortfalls.
-
Many collateralized debt obligations are structured to experience an event of default when a minimum overcollateralization ratio for senior liabilities is not maintained.